TinToll Performance Materials Co., Ltd.
TinToll Performance Materials Co., Ltd.

亜リン酸酸化防止剤やチオエーテルなどの二次酸化防止剤は、ヒドロペルオキシドを非ラジカル、非反応性、および熱的に安定な生成物に分解します。 したがって、補助酸化防止剤はヒドロペルオキシド分解剤とも呼ばれます。 ホスファイトおよびチオエーテル酸化防止剤は、広く使用されているヒドロペルオキシド分解剤である。 ホスファイトは溶融処理操作の高温で最も効果的ですが、チオエーテルは長期使用温度の固相で最も効果的です。 二次酸化防止剤は、ポリマーの安定性を高めるために一次酸化防止剤と共に使用される。


リン酸化防止剤は、過酸化物とヒドロペルオキシドを安定した非ラジカル生成物に分解する二次抗酸化剤です。 トリフェニルホスファイト酸化防止剤は、処理中に非常に効果的な安定剤であり、ポリマーに良好な熱安定性、色安定性、プロセス安定性、および耐候性を提供するために、一次酸化防止剤と組み合わせて使用されることがよくあります。


30年以上の間、ティンポール中国の大手亜リン酸抗酸化剤メーカーの1つは、世界のプラスチック市場の成長と変化する技術的ニーズを満たすために、革新的な高性能光安定剤と抗酸化剤ソリューションの提供に取り組んできました。


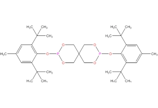
TINTOLLのトリス24ジtertブチルフェニルホスファイトは、高分子材料の酸化と分解を阻害および遅延させる上で重要な役割を果たします。 TINTOLLは、さまざまな物理的な形だけでなく、標準およびカスタムブレンドで利用できます。 抗酸化物質の選択は、適合性、色と熱の安定性、揮発性、安定剤の効率などの要因に依存します。


タイプのリン酸化防止剤

タイプのリン酸化防止剤

二次酸化防止剤とは何ですか?

二次酸化防止剤とは何ですか?

二次抗酸化物質は、ヒドロペルオキシドを分解して非反応性生成物を生成することにより、アルコキシおよびヒドロキシルラジカルの増殖を防ぐことにより、酸化を遅らせます。 これらのポリマープラスチック用抗酸化添加剤典型的には、一次酸化防止剤との相乗的組み合わせで使用される。

  • 有機リン酸塩

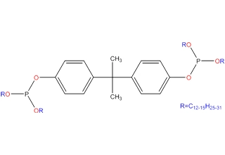
二次酸化防止剤として作用することを含むトリフェニルホスファイト酸化防止剤、有機リン酸塩はヒドロペルオキシドをアルコールに還元し、それ自体をホスホネートに変換します。 それらはまた、色安定性を提供し、フェノール類の酸化時に形成されるキノイド反応生成物の形成によって引き起こされる変色を抑制する。 トリス-ノニルフェニルホスファイト (TNPP) が最も一般的に使用される有機リン酸塩であり、続いてトリス (2,4-ジ-tert-ブチルフェニル) ホスファイトが続きます。

  • チオエステル

B-チオジプロピオン酸の脂肪族エステルに由来するチオエステルは、二次酸化防止剤として作用し、さまざまなポリマーに高い熱安定性を提供します。 チオエステルは、ヒドロペルオキシドを破壊して安定な六価硫黄誘導体を形成することにより、二次酸化防止剤として機能します。

チオエステルは、と組み合わせると相乗効果として機能しますフェノール酸化防止剤ポリオレフィンで。

  • 非アクティブ化

金属不活性化剤チェーン伝播の可能性を制限するために金属イオンと結合します。 金属不活性化剤は、プラスチックが金属と接触するワイヤーおよびケーブル用途のポリオレフィン内部被覆に一般的に使用されます。


サンプルをReqest? 見積もりをリクエストしますか? 技術的な質問? ディストリビューターを見つけますか?