TinToll Performance Materials Co., Ltd.
TinToll Performance Materials Co., Ltd.

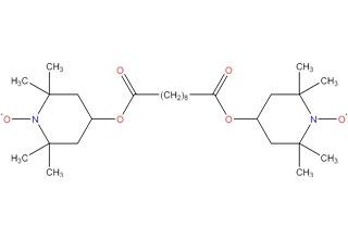
不飽和モノマーのフリーラジカル阻害剤重合は通常、Cラジカルを介して伝播し、これらは他のフリーラジカルと組み合わせて中性種を形成することにより重合を阻害することができます。 TINTOLL安定フリーラジカルには、4-ヒドロキシTEMPO、4-オキソ-TEMPO、Tri-(4-ヒドロキシ-TEMPO) ホスファイト、およびBis(2,2,6,6-テトラメチル-4-ピペリジル-1-オキシル) セバカートが含まれます。非常に効果的なフリーラジカルスカベンジャー。

タイプの重合阻害剤

タイプの重合阻害剤

重合阻害剤とは何ですか?

重合阻害剤とは何ですか?

重合阻害剤は、延長するポリマー鎖と反応する反応性分子である。 それらは、モノマーを安定化させ、光、熱、空気が重合を開始するのを防ぐために使用されます。

重合阻害剤は機能的な添加物それはモノマーの安全な保管と処理に不可欠です。

少量の阻害剤を添加すると、重合連鎖反応を止めるか、またはその速度を著しく遅くすることができる。

いくつかの一般的な重合阻害剤には、ヒドロキノンおよびニトロソアミンが含まれる。 しかしながら、ヒドロキノンなどの従来の重合阻害剤は、特定の条件下で重合を防ぐことができない。

不飽和モノマーのフリーラジカル重合は通常Cラジカルを介して伝播し、これらは他のフリーラジカルと組み合わせて中性種を形成することにより重合を阻害することができます。ティンポール安定したフリーラジカルには、4-ヒドロキシTEMPO、4-オキソ-TEMPO、Tri-(4-ヒドロキシ-TEMPO) ホスファイト、およびBis(2,2,6,6-テトラメチル-4-ピペリジル-1-オキシル) セバレートが含まれ、非常に効果的です。フリーラジカルスカベンジャー。


サンプルをReqest? 見積もりをリクエストしますか? 技術的な質問? ディストリビューターを見つけますか?