TinToll Performance Materials Co., Ltd.
TinToll Performance Materials Co., Ltd.
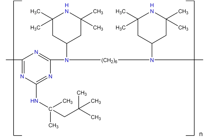
ポリ [[6-[1,1,3,3-テトラメチルブチル) アミノ]-1,3,5-トリアジン-2,4-ジイル][(2,2,6,6-テトラメチル4-ピペリジニル) イミノ]-1,6-ヘキサンジイル [(2,2,6,6-テトラメチル-4-ピペリジニル) imino]])

PowerStab™944

CAS No. 71878-19-8、70624-18-9 (米国)

ポリ [[6-[1,1,3,3-テトラメチルブチル) アミノ]-1,3,5-トリアジン-2,4-ジイル][(2,2,6,6-テトラメチル4-ピペリジニル) イミノ]-1,6-ヘキサンジイル [(2,2,6,6-テトラメチル-4-ピペリジニル) imino]])


同義語:

1,6-ヘキサンジアミン、N、N'-ビス (2,2,6,6-テトラメチル-4-ピペリジニル)-、2,4,6-トリクロロ-1,3,5-トリアジンを含むポリマー、2,4,4-トリメチル--ペンタンアミンを含む反応生成物


PowerStab™944は、高分子ヒンダードアミン光安定剤である。 それは、ポリオレフィン (薄いセクションと厚いセクション) の優れた光安定化性能、低い揮発性、および移動に対する優れた耐性を持っています。

TY_QT3 CAS No. 71878-19-8、70624-18-9 (米国)
ポリ [[6-[1,1,3,3-テトラメチルブチル) アミノ]-1,3,5-トリアジン-2,4-ジイル][(2,2,6,6-テトラメチル4-ピペリジニル) イミノ]-1,6-ヘキサンジイル [(2,2,6,6-テトラメチル-4-ピペリジニル) imino]])

PowerStabの技術的なデータ™944 CAS No. 71878-19-8、70624-18-9 (米国)

同義語Chimassorb 944 LD、Omnistab LS944、Songlight 9440、Sabostab UV94、Lowilite 94、Eversorb 91、Chiguard 944LD、EVERSTAB LS 944、Chisorb 944。

CAS番号

71878-19-8または70624-18-9

EINECS番号

615-678-9または615-131-4

化学構造

poly 6 1,1,3,3 tetramethylbutyl amino 1,3,5 triazine 2,4 diyl 2,2,6,6 tetramethyl4 piperidinyl imino 1,6 hexanediyl 2,2,6,6 tetramethyl 4 piperidinyl imino

化学式

(C35H68N8)N

パッキング

PowerStab™944は25kg PE袋で供給されます。

リーフレットのすべての情報は、現在の知識と経験に基づいています。 私たちは、技術の進歩またはさらなる発展に応じて変更を加える権利を留保します。 ここに記載された製品の性能は、テストによって確認されるべきである。


私たちは、特定の目的または商品性に対するフィットネスのその他の明示的または暗黙的な保証を特に放棄します。


偶発的または結果的な損害に対する責任を放棄します。

PowerStabのメリットとアプリケーション™944 CAS No. 71878-19-8、70624-18-9 (米国)

PowerStab™944は、広範囲のポリマーおよび用途に有効な高分子ヒンダードアミン光安定剤 (HALS) である。 HALS UVスタビライザーPEアプリケーション (射出成形、フィルム、およびテープ) 、PP (射出成形、フィルム、および繊維) 、TPO、ポリアミド繊維、フレキシブルおよびリジッドPVC、スチレンTPE、ポリウレタン、および特殊接着剤アプリケーション。 キシレンXLDPEでの使用にも适しています。

PowerStabの物理的特性™944 CAS No. 71878-19-8、70624-18-9 (米国)

外観

薄黄色の微粒への白

比重 (20 °C)

1.01

融点 (℃)

100-135

フラッシュポイント (℃)

150年まで

揮発性 (%)

Max.1.0

溶液の色425nm (%)

Min.95

ソリューションの色450nm (%)

Min.96

灰 (%)

Max.0.1

PowerStabの溶解度™944 CAS No. 71878-19-8、70624-18-9 (米国)

溶解度 [20 ℃]

% W/w

アセトン

> 50

クロロホルム

> 30

エタノール

<0.1

酢酸エチル

> 50

N-ヘキサン

41

メタノール

3

塩化メチレン

> 50

トルエン

> 50

<0.01


どのように私たちはあなたを助けることができますか?
サンプルをReqest? 見積もりをリクエストしますか? 技術的な質問? ディストリビューターを見つけますか?
推奨 妨げられたアミン軽い安定剤
ポリ [[6-[1,1,3,3-テトラメチルブチル) アミノ]-1,3,5-トリアジン-2,4-ジイル][(2,2,6,6-テトラメチル4-ピペリジニル) イミノ]-1,6-ヘキサンジイル [(2,2,6,6-テトラメチル-4-ピペリジニル) imino]])