TinToll Performance Materials Co., Ltd.
TinToll Performance Materials Co., Ltd.
ポリ (エチレングリコール) ビス (p-ジメチルアミノ安息香酸)

PowerCure™ASA

CAS No. 71512-90-8

ポリ (エチレングリコール) ビス (p-ジメチルアミノ安息香酸)


PowerCure™ASAは高分子アミン相乗剤である。 それは特にインクで使用するために設計されている低い移行と低い揮発性を持っています。 タイプII光開始剤と組み合わせて使用するのに特に適しています。 PowerCure™ASAは、低い移行と低い揮発性を必要とするインクで使用するように設計されています。

TY_QT3 CAS No. 71512-90-8
ポリ (エチレングリコール) ビス (p-ジメチルアミノ安息香酸)

PowerCureの技術的なデータ™ASA CAS No. 71512-90-8

同義語オムニポールASA

CAS番号

71512-90-8

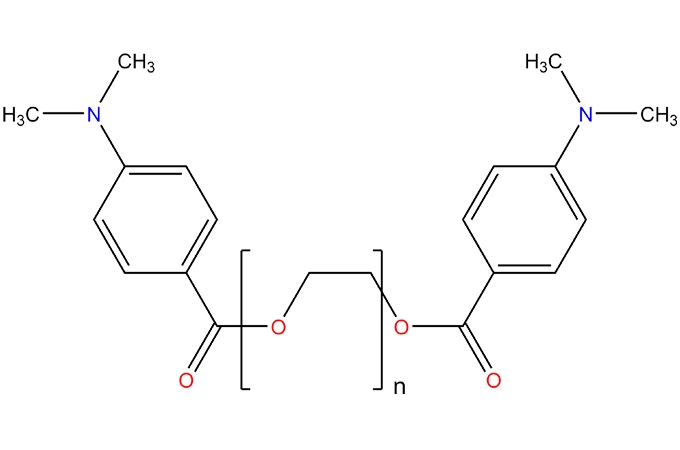
化学構造







poly ethylene glycol bis p dimethylaminobenzoate

パッキング

PowerCure™ASAは20Kgまたは200 Kgのドラムで供給されます。

リーフレットのすべての情報は、現在の知識と経験に基づいています。 私たちは、技術の進歩またはさらなる発展に応じて変更を加える権利を留保します。 ここに記載された製品の性能は、テストによって確認されるべきである。


私たちは、特定の目的または商品性に対するフィットネスのその他の明示的または暗黙的な保証を特に放棄します。


偶発的または結果的な損害に対する責任を放棄します。

PowerCureのメリット & アプリケーション™ASA CAS No. 71512-90-8

PowerCure™ASAは移行が低く、ボラティリティが低い。 このアクリル化アミン相乗剤黒および暗いシステムのために特に适しています。


PowerCure™ASAはと組み合わせて使用するのに特に適していますタイプII photoinitiatorを使用します。 推奨用量は5〜15% です。

PowerCureの物理的特性™ASA CAS No. 71512-90-8

外観

黄褐色の粘性液体

EDBの内容 (HPLC)

Max.1.00 %

乾燥の損失 (%)

Max.0.10


どのように私たちはあなたを助けることができますか?
サンプルをReqest? 見積もりをリクエストしますか? 技術的な質問? ディストリビューターを見つけますか?
推奨 アミンシナジスト
ポリ (エチレングリコール) ビス (p-ジメチルアミノ安息香酸)